首页 > 新闻动态 > 行业新闻

将放大器装在示波器的探头尖端的理由是什么?

2018/3/21  9:53:59

近日,有读者问“为什么示波器厂商把放大器放在探头尖端,而不在示波器内?”将放大器放在探头可大限度地降低探头和线缆对信号造成的损耗,但这是如何实现的?要了解如何及为什么,我们需要对探头和输入阻抗有一基本了解。

示波器探头将示波器的输入连接到要测量的电压节点。传统上,常用的探头分为三种类型:高阻抗无源探头、低容抗传输线探头和有源探头。

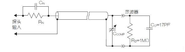
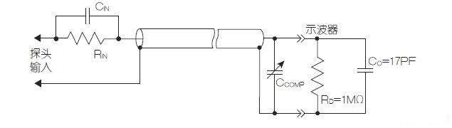
常见的探头类型是高阻抗无源探头。图1是其简化示意图。该探头使用经补偿的分压器(电阻和电容匹配的分压器)以驱动探头线缆和示波器输入电容。这些探头有500MHz额定带宽,但你应考虑由输入电容所带来的限制。



图1:采用电容和电阻匹配的分压器的高阻无源探头。

示波器的输入电容可能在15~25pF之间。同轴电缆每英尺的电容约在10pF~30pF。所以其总电容可能约为80pF。因此,简单地用屏蔽线缆将示波器连接到DUT(被测设备)将会把此电容加载在测量电路。在10MHz时,阻抗约为200Ω,这就可能显著降低你试图测量的电压幅值。

我们可通过使用电容性补偿分压器将被测信号分压10倍的方式来增加此输入阻抗。这种补偿分压器将使探头针尖具有小9pF的电容、带来10倍衰减,使探头负载阻抗增加了约10倍。增加探头衰减倍数,可进一步降低输入电容,但这样做将降低进入示波器的信号幅值,并使小信号测量变得困难或不可能。在实践中,10倍衰减在信号幅度和加载阻抗之间表现出良好平衡。

但在更高频率,即使是这样的低电容探头也还是太大了。在500MHz,9pF探头电容的等效阻值约35Ω,除低阻抗电路外,将对所有被测电压产生影响。

若将同轴线缆换为传输线,则可大幅降低输入电容。如果示波器的终端电阻为50Ω,则电缆探头端的阻抗将总是50Ω,与频率无关。可使用分压器加大这一非常低的负载阻抗;一个450Ω串联电阻将把被测电压幅值缩小10倍,并得到500Ω相对恒定的负载阻抗。采用带终端电阻的低电容或传输线探头(图2)。




图2:传输线探头大幅降低输入电容,但它也降低了输入电阻,从而降低了整体阻抗。

端接传输线探头的输入电容相当低,典型值高零点几个pF。这种探头的限制因素是低输入电阻。对10倍衰减探头来说,500Ω的输入电阻,也会对被测电路造成很大影响。

这就使我们自然想到有源探头(图3)。有源探头采用补偿分压器驱动放大器。该放大器的缓冲输出再驱动以其特性阻抗端接(terminated)的同轴电缆,就像传输线探头。该放大器还将探头与电缆的电容性负载和示波器的输入电路隔离开来。



图3:50Ω带缓冲输入驱动的传输线有源探头。

有源探头仍需要低输入电容,在探头尖端的小几何形状内,可以容易做到这点。可以设计出输入电容约为4pF的高阻抗缓冲放大器。约10倍衰减的补偿分压器将进一步降低输入电容以及允许更大的输入电压摆幅,其输入电容约为0.4pF。在现实中,放大器需要输入保护装置,此举将加大探头尖端金属的杂散电容,所以0.5pF到4pF的输入电容是比较现实的。

图4显示出上述讨论的三种探头其作为频率函数的输入阻抗(根据特定的输入电阻和电容)。在无源探头500MHz的频率上限,其输入阻抗仅为34Ω。在相同频率:传输线探头的输入阻抗为359Ω;有源探头的为530Ω。该容性阻抗将会加载到被测信号上。




图4:与被动和传输线探头比,有源探头可在宽的带宽内使输入阻抗大化。

探头影响的案例

图5是一个25Ω系统(50Ω源和负载阻抗)的阶跃波形(step waveform)示例。即使在这样的低阻抗环境下,无源探头容性负载的影响也显而易见。




图5:比较无源探头(PP008)和有源探头(ZS4000)的电容性负载的影响。

图5中,在无源探头接触被测信号前,输入阶跃的上升时间约为500ps。当PP008(输入C=9.5pF)触测阶跃被测信号时,上升时间增加至1.8ns,且在前沿造成显著失真。使用ZS4000有源探头(输入C=0.6pF)时,则没对被测信号造成显着失真。

低电容设计的关键是把所有探头尖端周围的导体做得小巧。这也与应使探头尖端的体积尽可能小巧的要求一致,只有这样,探头才能“游刃”于我们日渐拥挤的电路板。

探头尖端的电容性负载除加载被测电压外,还有另一个影响。单端探头需要一个接地连接。该地线有与其长度相关的电感。该电感,与探头的输入电容相组合,将在LC电路(图6)的共振频率上引致振铃效应。




图6:示波器的地线增加了被测电路的电感。

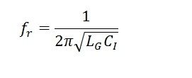
接地线电感可使用大拇指规则估算,其值约为20nH/in,进而算出谐振频率。该电感的谐振频率(fr)为:



为使测量不失真,谐振频率应比拟测量信号的频率高得多。可通过使用更短的地线或使用更低输入电容的探头或两者兼而用之的方式来提高共振频率。

作为例子,我们可使用PP008探头(输入C=9.5Pf)、6英寸地线(~120nH)进行陡变阶梯电压的测量。在这些参数下,其振铃频率约为150MHz,可容易地在所测波形上看到。若将同样的接地线与输入电容仅为0.6pF的ZS4000探头一起使用,这时其共振频率约为600MHz且平复要快得多,如图7中所示。


图7. 对比由接地线引入、输入电容的不同值对振铃产生的影响。输入电容更低的有源探头(ZS4000),不仅回复要快得多,且具有更高频率。

更高带宽的探头配有短的、定长接地导线。用短的地线配以上述介绍的有源探头使你在测量阶跃电压时几乎没有振铃现象或上升时间失真。使用中的重要注意事项是:不要试图延长这些地线,因其会增加电感和电容并将显著影响探头性能。

再回到我们开始的问题:“为什么有源探头的放大器做在探头尖端,而不在示波器内?”答案是:示波器厂家通过将放大器做在探头尖端附近,可在探头针尖内采用补偿的分压器以增加探头的输入阻抗和输入电压范围。同时,有源探头可以缓冲连接电缆对探头的影响。不使用放大器,使用传输线探头,你仍可得到类似结果,但你必须要能忍受低输入阻抗带来的影响。